Research

My research focuses on gravitational dynamics, both on small scales – studying few-body systems like the three-body problem – and on large scales, where I am interested in structure formation in the Universe. A motif that connects the various research topics described below is using gravitational astrophysics to learn about fundamental physics, for example the nature of dark matter or the nature of non-linearities in gravity.

Below are a few examples.

Non-linear structure formation

I am using kinetic theory to study large-scale structure formation for cold dark matter, via gravitational collapse. Gravitational collapse pertains to the evolution of a collection of massive particles, under their mutual gravitational pull, from an initially sparse distribution, to a more packed, dense one – they pull each other, so tend to cluster, hence ‘collapse’; it occurs continuously, on many scales, as haloes form. The fundamental quantity describing cold dark matter is the distribution function f(x,v), which specifies the probability of finding a particle at position x with velocity v. In Ginat et al. (2025, where the video is from), we developed a theory (see video opposite for what 1D gravitational collapse looks like in phase-space) for the scaling of the power-spectrum on very small scales (accounting for the non-linear gravitational interactions). This work thus explained the universal power-law scaling at small scales, seen in cosmological simulations, for the matter power-spectrum, a key cosmological observable.

Three-body problem

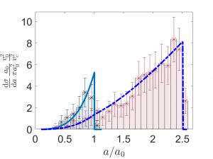
Three-body encounters are at the heart of the evolution of gravitational systems, in particular stellar clusters, where they manifest as the main interaction between stars and compact objects, and also facilitate the production of gravitational-wave sources. There is no analytic, closed-form solution to the three-body problem, because the motion is chaotic; indeed, the outcome of a close triple interaction is essentially random. Here is an example of an orbit:

In my work, I used this randomness to derive a closed-form statistical prediction for the probability of every possible outcome of a close triple encounter (see these 3 papers: Ginat & Perets, 2021a,2021b,2023). In numerical simulations of the gravitational interaction of three stars, the interactions proceed as sequence of close triple approaches, interspersed with phases where one of the stars is ejected; if its energy is positive, it leaves, but otherwise it eventually returns to another close approach. I also modelled the intermediate steps – when the third body has a negative energy – while exactly accounting for all conservation laws. This model agreed well with simulations; see, e.g., this plot:

From: Ginat & Perets, Physical Review X, 11, 031020

This solution allowed us to envision the sequence of close approaches as a random walk. Understanding the intermediate steps is a necessary ingredient in understanding dynamically formed gravitational-wave signals, and we used the random-walk model to predict the probability of forming GW sources during a triple encounter. 

Random walks are also a good model for some hierarchical systems (where there is a binary orbited by a faraway third body). In this paper we studied “quasi-hierarchical” triples, where there is a very large hierarchy of time-scales between the inner and outer orbits, but the outer orbit is extremely eccentric, so that its time at pericentre is only a few times the inner period. This turns out to lead to a quasi-random walk of the angular momentum of the inner binary, usually causing its eccentricity to increase (on average).

Relativistic effects in large-scale structure

The observed distribution of galaxies on the sky provides a plethora of cosmological information, both on the evolution of the Universe and on large-scale structure. To interpret these observations however, we need to relate the observed galaxy sky positions and redshifts to the underlying space-time and matter distribution, a relation which is nontrivial even on very large scales, because of general relativity: the Universe is not exactly homogeneous and isotropic, and this deviation from an exact FLRW space-time distorts its own image. Light from galaxies is distorted (lensed, redshifted) by the large-scale structure – by the very distribution that we seek to observe.

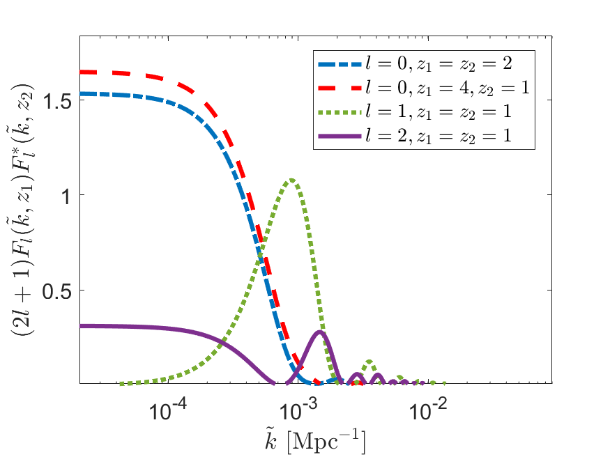
The papers Ginat et al. (2021), and Villey, Ginat et al., (2025) seek to study these effects, with the help of the “cosmic ruler” formulation of large-scale structure observables. The second calculates the cosmic rulers explicitly at second order in cosmological perturbation theory – no mean feat!

While standard theories of inflation predict that the primordial density fluctuations were Gaussian (the distribution of their amplitudes was a normal distribution), other theories predict some deviation from that, called “primordial non-Gaussianity”. However, the relativistic effects can mimic that, so it’s important to get them right. In the future, out formulae can be used to calculate the observed galaxy distribution, with relativistic corrections, to compare with data, e.g. from SPHEREx, and help it to find (or rule out) primordial non-Gaussianity.

From: Ginat et al. JCAP12(2021)031

Updated: 4 October 2025.